更新时间:2022-12-30 14:49:34 来源:动力节点 浏览1635次
不少程序员在新年过后想要提升自己,跳槽到更有前途的大厂中,他们也已经开始申请各方面的相关开发职位,但他们中许多人还不知道能够遇到什么样的编程面试题,今天小编就来总结一下:

一、什么是数据结构?
数据结构是计算机存储、组织数据的方式。数据结构是指相互之间存在一种或多种特定关系的数据元素的集合。结构包括逻辑结构和物理结构。
数据的逻辑结构包括4种
(1)集合:数据元素之间除了有相同的数据类型再没有其他的关系
(2)线性结构:数据元素之间是一对一的关系 ——线性表、栈、队列
(3)树形结构:数据元素之间是一对多的关系
(4)图状结构:数据元素之间是多对多的关系。
物理结构包括顺序存储结构和链式存储结构。
二、解释一下顺序存储与链式存储
顺序存储结构是用一段连续的存储空间来存储数据元素,可以进行随机访问,访问效率较高。链式存储结构是用任意的存储空间来存储数据元素,不可以进行随机访问,访问效率较低。
三、头指针和头结点的区别?
头指针:是指向第一个节点存储位置的指针,具有标识作用,头指针是链表的必要元素,无论链表是否为空,头指针都存在。
头结点:是放在第一个元素节点之前,便于在第一个元素节点之前进行插入和删除的操作,头结点不是链表的必须元素,可有可无,头结点的数据域也可以不存储任何信息。
四、线性结构的特点
(1)集合中必存在唯一的一个"第一个元素";
(2)集合中必存在唯一的一个"最后的元素";
(3)除最后元素之外,其它数据元素均有唯一的"后继";
(4)除第一元素之外,其它数据元素均有唯一的"前驱"。
五、数组和链表的区别?
从逻辑结构来看:数组的存储长度是固定的,它不能适应数据动态增减的情况。链表能够动态分配存储空间以适应数据动态增减的情况,并且易于进行插入和删除操作。
从访问方式来看:数组在内存中是一片连续的存储空间,可以通过数组下标对数组进行随机访问,访问效率较高。链表是链式存储结构,存储空间不是必须连续的,可以是任意的,访问必须从前往后依次进行,访问效率较数组来说比较低。
如果从第i个位置插入多个元素,对于数组来说每一次插入都需要往后移动元素,每一次的时间复杂度都是O(n),而单链表来说只需要在第一次寻找i的位置时时间复杂度为O(n),其余的插入和删除操作时间复杂度均为O(1),提高了插入和删除的效率。
六、单链表结构和顺序存储结构的区别?
当进行插入和删除操作时,顺序存储结构每次都需要移动元素,总的时间复杂度为O(n^2),而链式存储结构确定i位置的指针后,其时间复杂度仅为O(1)。由于顺序存储结构需要进行预分配存储空间,所以容易造成空间浪费或者溢出。链式存储结构不需要预分配存储空间,元素个数不受限制。
七、栈和队列的区别
队列是允许在一段进行插入另一端进行删除的线性表,对于进入队列的元素按“先进先出”的规则处理,在表头进行删除在表尾进行插入。
栈是只能在表尾进行插入和删除操作的线性表。对于插入到栈的元素按“后进先出”的规则处理,插入和删除操作都在栈顶进行。由于进栈和出栈都是在栈顶进行,所以要有一个size变量来记录当前栈的大小,当进栈时size不能超过数组长度,size+1,出栈时栈不为空,size-1。
八、栈的两个应用:括号匹配是怎么应用的?(如何实现要会用语言描述)
括号匹配,表达式的计算
将中缀表达式变为后缀表达式:
①从左往右,运算数输出,运算符号入栈
②栈内:(优先级低,()内符号依次入栈一起输出
同级符号先进栈的先输出——b站2.2.4
[外链图片转存失败,源站可能有防盗链机制,建议将图片保存下来直接上传(img-kVzQBPAL-1626507074517)(C:\Users\24380\Pictures\栈的应用1.jpg)]
[外链图片转存失败,源站可能有防盗链机制,建议将图片保存下来直接上传(img-iTYMxGrX-1626507074522)(C:\Users\24380\Pictures\栈的应用2.jpg)]
bool match(string str)
{
stack<int> con;
int count = 0;
string::iterator iter = str.begin();
while (iter != str.end())
{
if (*iter == '(')
con.push(*iter);
else if (*iter == ')')
{
if (con.empty())
return 0;
else
{
count++;
con.pop();
}
}
iter++;
}
if (con.empty())
{
cout << "匹配次数:" << count << endl;
return 1;
}
else
{
return 0;
}
}
#include<iostream>
#include<stack>
#include<stdexcept>
using namespace std;
int cerr_flag=0;
int calculate(int len, char* str)
{
stack<int> Num;
stack<char> Symbol;
bool bFlag = false;
char c,OperSymbol;
int temp;
int num1, num2;
for (int i = 0; i < len; i++)
{
c = str[i];
if (isdigit(c))
{
temp = c - '0';
Num.push(temp);
continue;
}
else if (c == '*' || c == '/')
{
if (Symbol.size() > 0 && (Symbol.top() == '*' || Symbol.top() == '/'))
bFlag = true;
else
bFlag = false;
}
else if (c == '+'||c=='-')
{
if (Symbol.size() == 0)
bFlag = false;
else
bFlag = true;
}
if (bFlag)
{
num1 = Num.top();
Num.pop();
num2 = Num.top();
Num.pop();
OperSymbol = Symbol.top();
Symbol.pop();
switch (OperSymbol)
{
case '+':
temp = num2 + num1;
Num.push(temp);
break;
case '-':
temp = num2 - num1;
Num.push(temp);
break;
case '*':
temp = num2 * num1;
Num.push(temp);
break;
case '/':
try{
if (num1 == 0)
throw invalid_argument("除数为0");
}
catch (const invalid_argument& e)
{
cerr << "捕获异常:" << e.what() << endl;
cerr_flag = 1;
return NULL ;
}
temp = num2 / num1;
Num.push(temp);
break;
default:
break;
}
}
Symbol.push(c);
}
while (Symbol.size() > 0)
{
num1 = Num.top();
Num.pop();
num2 = Num.top();
Num.pop();
OperSymbol = Symbol.top();
Symbol.pop();
switch (OperSymbol)
{
case '+':
temp = num2 + num1;
Num.push(temp);
break;
case '-':
temp = num2 - num1;
Num.push(temp);
break;
case '*':
temp = num2 * num1;
Num.push(temp);
break;
case '/':
try{
if (num1 == 0)
throw invalid_argument("除数为0");
}
catch (const invalid_argument& e)
{
cerr << "捕获异常:" << e.what() << endl;
cerr_flag = 1;
return NULL;
}
temp = num2 / num1;
Num.push(temp);
break;
default:
break;
}
}
return Num.top();
}
int main()
{
char *a = "1+4*4-8/2";
char *b = "2-9/0+2*3";
int result1 = calculate(strlen(a), a);
if (cerr_flag == 0)
{
cout << "运算结果为:" << result1<<endl;
}
cout << endl;
int result2 = calculate(strlen(b), b);
if (cerr_flag == 0)
{
cout << "运算结果为:" << result2;
}
return 0;
}
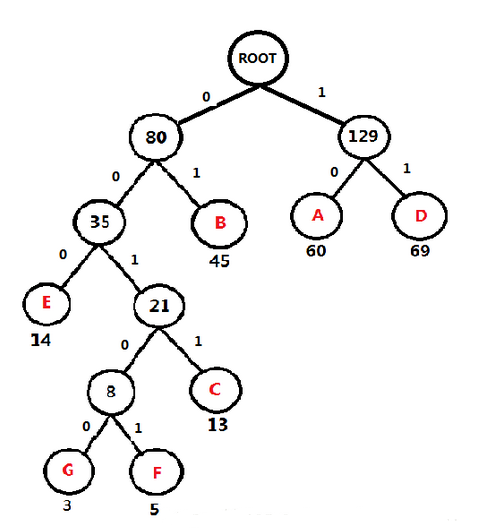
如何构造哈夫曼树?(如何实现要会用语言描述)
找w最小求和,再找w最小;左小右大;构造结束后,左0右1
[例]频率表 A:60, B:45, C:13 D:69 E:14 F:5 G:3**

每个 字符 的 二进制编码 为(从根节点 数到对应的叶子节点,路径上的值拼接起来就是叶子节点字母的应该的编码)
| 字符 | 编码 |
| A | 10 |
| B | 01 |
| C | 0011 |
| D | 11 |
| E | 000 |
| F | 00101 |
| G | 00100 |
以上就是“为程序员准备的数据结构面试题”,你能回答上来吗?如果想要了解更多的Java面试题相关内容,可以关注动力节点Java官网。
Java实验班
0基础 0学费 15天面授
Java就业班
有基础 直达就业
Java夜校直播班
业余时间 高薪转行
Java在职加薪班
工作1~3年,加薪神器
Java架构师班
工作3~5年,晋升架构
提交申请后,顾问老师会电话与您沟通安排学习